Acta Veterinaria et Zootechnica Sinica ›› 2025, Vol. 56 ›› Issue (10): 4947-4962.doi: 10.11843/j.issn.0366-6964.2025.10.016

• Animal Genetics and Breeding • Previous Articles     Next Articles

Genetic Diversity and Population Structure Analysis of Leizhou Goat Based on Whole Genome Resequencing Analysis

FENG Da(), WEI Chen*(), HU Siyi, DU Chunmei, MA Jian, WU Jiang, ZHOU Guangxian, GAN Shangquan*()   

  1. College of Coastal Agricultural Sciences, Guangdong Ocean University, Zhanjiang 524088, China
  • Received:2025-03-13 Online:2025-10-23 Published:2025-11-01
  • Contact: WEI Chen, GAN Shangquan E-mail:fda_1020@163.com;weichenwjf@126.com;shangquangan@gdou.edu.cn

Abstract:

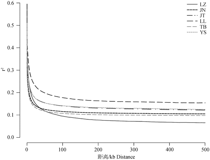
The objective of this study was to investigate the genetic diversity and population structure of Leizhou goats to provide the theoretical basis for conservation and sustainable utilization of their germplasm resources. In this study, whole-genome resequencing was performed on blood samples from 20 Leizhou goats, with an average sequencing depth of ~10×. The genome-wide data from 43 additional goats was downloaded, including Yunshang black goats, Jintang black goats, Jining grey goats, Tibetan goats, and Longlin goats, from the NCBI database. Using these whole-genome data, then linkage disequilibrium (LD) analysis was performed using PopLDdecay software. We calculated genetic distances using Plink software and constructed and visualized a genetic relationship matrix using GCTA software. In addition, we employed Plink for principal component analysis (PCA), Phylip to construct a neighbor-joining (NJ) phylogenetic tree, and ADMIXTURE for population structure analysis, collectively assessing the genetic diversity and population structure of goat populations. Finally, runs of homozygosity (ROH) were analyzed and fixation index (FST) values between populations were calculated. Subsequently, the identified genomic regions were annotated for candidate genes and subjected to functional enrichment analysis. We identified a total of 18 810 921 SNPs, with the majority (65.71%) located in intergenic regions. For Leizhou goats, we found the overall average values of HO, HE, MAF, Pi, PIC, Ne and FIS were 0.298, 0.295, 0.211, 0.001 8, 0.808, 65.488 and 0.086, respectively. The higher HO compared to HE indicated normal levels of population genetic diversity. For LD analysis, we found the fastest LD decay in Leizhou goats, suggesting higher genetic diversity and weaker selection pressure on their genome. We calculated identity-by-state (IBS) distance matrices and genetic relationship matrices (G matrices), which demonstrated close genetic relatedness among Leizhou goats but significant genetic differentiation from other goat populations. Analysis of ROH revealed that the Leizhou goat population exhibited a reduced inbreeding level. Using PCA, we observed discrete clustering of Leizhou goats, clearly distinguishing them from other populations. We constructed a neighbor-joining (NJ) phylogenetic tree, which further supported the independent evolutionary branch of Leizhou goats. For population structure analysis, we determined that the optimal clustering occurred at K=3, revealing a unique genetic architecture in Leizhou goats. Genome-wide FST analysis identified significant selection signals in the ADGRL3, CXCR1, and HTR1F gene regions after screening the top 1% of highly differentiated loci, suggesting these genes may be associated with adaptation. In this study, we comprehensively analyzed the genetic diversity, kinship relationships, and population structure of Leizhou goats. The study results provide a scientific basis for understanding the genetic background of Leizhou goats and lay a theoretical foundation for developing effective conservation strategies and sustainable utilization plans.

Key words: Leizhou goat, whole genome resequencing, genetic diversity, population structure

CLC Number: