

Acta Veterinaria et Zootechnica Sinica ›› 2025, Vol. 56 ›› Issue (9): 4422-4431.doi: 10.11843/j.issn.0366-6964.2025.09.024
• Animal Biotechnology and Reproduction • Previous Articles Next Articles
					
													XING Zhou(
), SONG Chenglei, CAO Fengfeng, LI Zhuoying, LI Qingyun, TAO Jinzhong**(
)
												  
						
						
						
					
				
Received:2025-02-14
															
							
															
							
															
							
																	Online:2025-09-23
															
							
																	Published:2025-09-30
															
						Contact:
								TAO Jinzhong*   
																	E-mail:XINGZHOUNAU@163.com;tao_jz@nxu.edu.cn
																					CLC Number:
XING Zhou, SONG Chenglei, CAO Fengfeng, LI Zhuoying, LI Qingyun, TAO Jinzhong*. Effects of Plasma Steroid Hormones on Superovulation Efficiency in Tan Sheep after Superovulation Treatment[J]. Acta Veterinaria et Zootechnica Sinica, 2025, 56(9): 4422-4431.
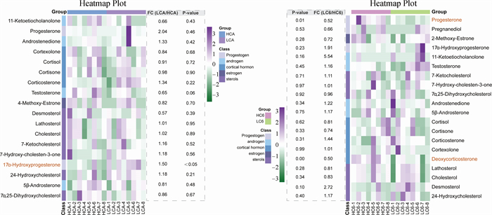
Table 1
Grouping information and statistics of corpus luteum number and embryo number"
| 时期Period | AI后6 d(AI-6d) 6 d after AI (AI-6d) | |
| 黄体数分组Corpus luteum number grouping | 高反应组 | 低反应组 | 
| 采样时间Sample time | HCA(AI时第0天)(n=8) | LCA(AI时第0天)(n=8) | 
| HC6(AI后第6天)(n=8) | LC6(AI后第6天)(n=8) | |
| 黄体数Corpus luteum number | 17.13±5.46*** | 8.00±1.07 | 
| 胚胎数Number of embryos | 9.63±3.02 (P=0.061) | 6.25±3.58 | 
Table 2
KEGG annotation and functional studies of differential metabolites"
| 差异代谢物 Differential metabolites  |  KEGG通路注释 KEGG annotation  |  功能研究 Functional study  |  参考文献 Reference  |  
| 17β-羟孕酮 17β-OHP  |  C01176 map00140 | 参与糖皮质激素和生殖相关类固醇激素的合成 Involved in the synthesis of glucocorticoids and reproductive steroid hormones  |  [ |  
| 维持妊娠,治疗先兆流产,降低早产风险 Maintain pregnancy, treat threatened abortion and reduce the risk of premature birth  |  [ |  ||
| 参与合成盐皮质激素 Participate in the synthesis of mineralocorticoids  |  [ |  ||
| 孕酮 P4  |  C00410 Map00140 | 促进子宫内膜增厚,促进受精卵着床 Promote endometrial thickening and fertilized egg implantation  |  [ |  
| 抑制子宫收缩,保护胎儿,维持妊娠 Inhibit uterine contraction, protect fetus and maintain pregnancy  |  [ |  ||
| 抑制免疫排斥反应,防止胎儿被母体排出 Inhibit immune rejection and prevent the fetus from being discharged by the mother  |  [ |  ||
| 去氧皮质酮 DOC  |  C03205 | 调节水盐代谢 Regulating water and salt metabolism  |  [ |  
| 参与雄烯二酮、睾酮和雄激素的合成 Involved in the synthesis of androstenedione, testosterone and androgen  |  [ |  ||
| 用于诊断糖皮质激素反应性醛固酮增多症 Diagnosis of glucocorticoid reactive aldosteronism  |  [ |  
| 1 |  
											 熊铿, 范浩杰, 王杰, 等.  牛超数排卵重组促卵泡素研究进展及其应用[J]. 畜牧兽医学报, 2025, 56 (5): 2047- 2055. 
																							 doi: 10.11843/j.issn.0366-6964.2025.05.006  | 
										
|  
											  XIONG K ,  FAN H J ,  WANG J , et al.  Research progress and application of bovine superovulation recombinant follicle stimulating hormone[J]. Acta Veterinaria et Zootechnica Sinica, 2025, 56 (5): 2047- 2055. 
																							 doi: 10.11843/j.issn.0366-6964.2025.05.006  | 
										|
| 2 | 黄似超. 高、低超数排卵效果绵羊血清代谢组分析及差异代谢物的初步验证[D]. 呼和浩特: 内蒙古大学, 2025. | 
| HUANG S C. Metabolomic analysis and preliminary verification of differential metabolites in serum of sheep with high and low superovulation effect[D]. Hohhot: Inner Mongolia University, 2025. (in Chinese) | |
| 3 | 徐全忠. 绵羊血清代谢物与超数排卵的相关性分析[D]. 呼和浩特: 内蒙古大学, 2023. | 
| XU Q Z. Correlation analysis of serum metabolites and superovulation in sheep[D]. Hohhot: Inner Mongolia University, 2023. (in Chinese) | |
| 4 | 郑梦馨, 陈晓东, 张腱皓, 等. 哺乳期滩羔羊添加维生素A对生长性能及肉品质的影响[J/OL]. 畜牧兽医学报, 2025, 1-12[2025-09-16]. https://link.cnki.net/urlid/11.1985.s.20250314.1802.010. | 
| ZHENG M X, CHEN X D, ZHANG J H, et al. Effects of vitamin A supplementation on growth performance and meat quality of lactating Tan lambs[J/OL]. Acta Veterinaria et Zootechnica Sinica, 2025, 1-12[2025-09-16]. https://link.cnki.net/urlid/11.1985.s.20250314.1802.010. (in Chinese) | |
| 5 |  
											  WANG H ,  FENG X ,  MUHATAI G , et al.  Expression profile analysis of sheep ovary after superovulation and estrus synchronisation treatment[J]. Vet Med Sci, 2022, 8 (3): 1276- 1287. 
																							 doi: 10.1002/vms3.783  | 
										
| 6 |  
											  MADDISON J W ,  RICKARD J P ,  BERNECIC N C , et al.  Oestrus synchronisation and superovulation alter the cervicovaginal mucus proteome of the ewe[J]. J Proteomics, 2017, 155, 1- 10. 
																							 doi: 10.1016/j.jprot.2017.01.007  | 
										
| 7 |  
											 王中波, 刘爽, 贺丽霞, 等.  固原黄牛不同部位肌肉组织代谢组学分析[J]. 畜牧兽医学报, 2024, 55 (4): 1565- 1578. 
																							 doi: 10.11843/j.issn.0366-6964.2024.04.020  | 
										
|  
											  WANG Z B ,  LIU S ,  HE L X , et al.  Metabonomic analysis of muscle tissue in different parts of Guyuan yellow cattle[J]. Acta Veterinaria et Zootechnica Sinica, 2024, 55 (4): 1565- 1578. 
																							 doi: 10.11843/j.issn.0366-6964.2024.04.020  | 
										|
| 8 | CHAI Y , GREBE S K G , MAUS A . Improving LC-MS/MS measurements of steroids with differential mobility spectrometry[J]. J Mass Spectrom Adv, 2023, 30, 30- 37. | 
| 9 |  
											  LI J ,  ZHU H J .  Liquid chromatography-tandem mass spectrometry (LC-MS/MS)-based proteomics of drug-metabolizing enzymes and transporters[J]. Molecules, 2020, 25 (11): 2718. 
																							 doi: 10.3390/molecules25112718  | 
										
| 10 | 田菁, 王宇哲, 闫世雄, 等. 代谢组学技术发展及其在农业动植物研究中的应用[J]. 遗传, 2020, 42 (5): 452- 465. | 
| TIAN J , WANG Y Z , YAN S X , et al. Metabonomic technology development and its application in agricultural animal and plant research[J]. Genetics, 2020, 42 (5): 452- 465. | |
| 11 |  
											  CHEN Q ,  JIANG Y ,  REN Y , et al.  Peptide selection for accurate targeted protein quantification via a dimethylation high-resolution mass spectrum strategy with a peptide release kinetic model[J]. ACS Omega, 2020, 5 (8): 3809- 3819. 
																							 doi: 10.1021/acsomega.9b02002  | 
										
| 12 |  
											  YESILADALI M ,  YAZICI M G K ,  ATTAR E , et al.  Differentiating polycystic ovary syndrome from adrenal disorders[J]. Diagnostics, 2022, 12 (9): 2045. 
																							 doi: 10.3390/diagnostics12092045  | 
										
| 13 |  
											  ZIERDEN H C ,  ORTIZ J I ,  DELONG K , et al.  Enhanced drug delivery to the reproductive tract using nanomedicine reveals therapeutic options for prevention of preterm birth[J]. Sci Transl Med, 2021, 13 (576): eabc6245. 
																							 doi: 10.1126/scitranslmed.abc6245  | 
										
| 14 |  
											  WANG W ,  MU Q ,  FENG X , et al.  Sweet taste receptor T1R3 expressed in leydig cells is closely related to homeostasis of the steroid hormone metabolism profile[J]. J Agric Food Chem, 2023, 71 (20): 7791- 7802. 
																							 doi: 10.1021/acs.jafc.3c01110  | 
										
| 15 |  
											  LABARTA E ,  SEBASTIAN-LEON P ,  DEVESA-PEIRO A , et al.  Analysis of serum and endometrial progesterone in determining endometrial receptivity[J]. Hum Reprod, 2021, 36 (11): 2861- 2870. 
																							 doi: 10.1093/humrep/deab184  | 
										
| 16 |  
											  BULLETTI C ,  BULLETTI F M ,  SCIORIO R , et al.  Progesterone: the key factor of the beginning of life[J]. Int J Mol Sci, 2022, 23 (22): 14138. 
																							 doi: 10.3390/ijms232214138  | 
										
| 17 |  
											  SHYNLOVA O ,  NADEEM L ,  LYE S .  Progesterone control of myometrial contractility[J]. J Steroid Biochem Mol Biol, 2023, 234, 106397. 
																							 doi: 10.1016/j.jsbmb.2023.106397  | 
										
| 18 |  
											  SHEN Y ,  DONG Z ,  FAN F , et al.  Targeting cytokine-like protein FAM3D lowers blood pressure in hypertension[J]. Cell Rep Med, 2023, 4 (6): 101072. 
																							 doi: 10.1016/j.xcrm.2023.101072  | 
										
| 19 |  
											  GLASS S M ,  REDDISH M J ,  CHILD S A , et al.  Characterization of human adrenal cytochrome P450 11B2 products of progesterone and androstenedione oxidation[J]. J Steroid Biochem Mol Biol, 2021, 208, 105787. 
																							 doi: 10.1016/j.jsbmb.2020.105787  | 
										
| 20 |  
											  VERMA S ,  PANDEY A ,  PANDEY A K , et al.  Aldosterone and aldosterone synthase inhibitors in cardiorenal disease[J]. Am J Physiol Heart Circ Physiol, 2024, 326 (3): H670- H688. 
																							 doi: 10.1152/ajpheart.00419.2023  | 
										
| 21 |  
											  ROBERTS J N ,  MAY K J ,  VEIGA-LOPEZ A .  Time-dependent changes in pregnancy-associated glycoproteins and progesterone in commercial crossbred sheep[J]. Theriogenology, 2017, 89, 271- 279. 
																							 doi: 10.1016/j.theriogenology.2016.10.029  | 
										
| 22 |  
											 丁自强, 葛闻博, 段宏伟, 等.  双氢睾酮通过调控孕酮、雌二醇和细胞凋亡参与绵羊子宫功能[J]. 畜牧兽医学报, 2022, 53 (9): 2993- 3005. 
																							 doi: 10.11843/j.issn.0366-6964.2022.09.016  | 
										
|  
											  DING Z Q ,  GE W B ,  DUAN H W , et al.  Dihydrotestosterone participates in ovine uterine function by regulating progesterone, estradiol, and cell apoptosis[J]. Acta Veterinaria et Zootechnica Sinica, 2022, 53 (9): 2993- 3005. 
																							 doi: 10.11843/j.issn.0366-6964.2022.09.016  | 
										|
| 23 |  
											 孙国瀚, 郑浩, 杨卓, 等.  发情期和妊娠早期孕酮对奶牛繁殖的影响及调控方法[J]. 畜牧兽医学报, 2024, 55 (10): 4241- 4249. 
																							 doi: 10.11843/j.issn.0366-6964.2024.10.001  | 
										
|  
											  SUN G H ,  ZHENG H ,  YANG Z , et al.  Effects of progesterone during estrus and early pregnancy on dairy cow reproduction and regulatory methods[J]. Acta Veterinaria et Zootechnica Sinica, 2024, 55 (10): 4241- 4249. 
																							 doi: 10.11843/j.issn.0366-6964.2024.10.001  | 
										|
| 24 |  
											 李庆云, 曹凤凤, 邢洲, 等.  奶牛黄体的形成、溶解及其在维持妊娠中的作用研究进展[J]. 畜牧兽医学报, 2025, 56 (7): 3088- 3095. 
																							 doi: 10.11843/j.issn.0366-6964.2025.07.005  | 
										
|  
											  LI Q Y ,  CAO F F ,  XING Z , et al.  Research Progress on the Formation and Lysis of Cow Corpus Luteum and Its Role in Maintaining Pregnancy[J]. Acta Veterinaria et Zootechnica Sinica, 2025, 56 (7): 3088- 3095. 
																							 doi: 10.11843/j.issn.0366-6964.2025.07.005  | 
										|
| 25 |  
											  OKTEM O ,  AKIN N ,  BILDIK G , et al.  FSH stimulation promotes progesterone synthesis and output from human granulosa cells without luteinization[J]. Hum Reprod, 2017, 32 (3): 643- 652. 
																							 doi: 10.1093/humrep/dex010  | 
										
| 26 | SEBAG-PEYRELEVADE S , EL HACHEM H , GALLOT V , et al. The influence of exogenous LH/hCG activity on serum progesterone levels on the day of hCG administration in in vitro fertilization[J]. J Gynecol Obstet Hum, 2015, 44 (6): 524- 531. | 
| 27 | 赵敏, 何玮, 张耀. 高孕激素状态下促排卵方案在卵巢低反应患者体外受精-胚胎移植临床应用中的研究进展[J]. 浙江医学, 2021, 43 (13): 1475- 1478. | 
| ZHAO M , HE W , ZHANG Y . Research progress on the clinical application of ovulation induction protocol under high progesterone status in vitro fertilization-embryo transfer for patients with ovarian hyporesponse[J]. Zhejiang Medical Journal, 2021, 43 (13): 1475- 1478. | |
| 28 |  
											  NAGY B ,  SZEKERES-BARTHÓ J ,  KOVÁCS G L , et al.  Key to life: physiological role and clinical implications of progesterone[J]. Int J Mol Sci, 2021, 22 (20): 11039. 
																							 doi: 10.3390/ijms222011039  | 
										
| 29 | 傅优, 郑洪, 黄佳佳. 孕激素及PGRMC在正常卵巢和卵巢癌细胞中的研究进展[J]. 临床与实验病理学杂志, 2020, 36 (2): 182- 185. | 
| FU Y , ZHENG H , HUANG J J . Research Progress on Progesterone and PGRMC in Normal Ovarian and Ovarian Cancer Cells[J]. Chinese Journal of Clinical and Experimental Pathology, 2020, 36 (2): 182- 185. | |
| 30 |  
											  LODDE V ,  PELUSO J J .  A novel role for progesterone and progesterone receptor membrane component 1 in regulating spindle microtubule stability during rat and human ovarian cell mitosis[J]. Biol Reprod, 2011, 84 (4): 715- 722. 
																							 doi: 10.1095/biolreprod.110.088385  | 
										
| 31 |  
											  POLAT S ,  ARSLAN Y K .  17-hydroxyprogesterone response to standard dose synacthen stimulation test in CYP21A2 heterozygous carriers and non-carriers in symptomatic and asymptomatic groups: meta-analyses[J]. J Clin Res Pediatr Endocrinol, 2022, 14 (1): 56- 68. 
																							 doi: 10.4274/jcrpe.galenos.2021.2021.0184  | 
										
| 32 |  
											  WILL E A ,  LIU X ,  PELUSO J J .  AG 205, a progesterone receptor membrane component 1 antagonist, ablates progesterone 's ability to block oxidative stress-induced apoptosis of human granulosa/luteal cells†[J]. Biol Reprod, 2017, 96 (4): 843- 854. 
																							 doi: 10.1093/biolre/iox013  | 
										
| 33 |  
											  YANG J ,  FENG T ,  LI S , et al.  Human follicular fluid shows diverse metabolic profiles at different follicle developmental stages[J]. Reprod Biol Endocrinol, 2020, 18 (1): 74. 
																							 doi: 10.1186/s12958-020-00631-x  | 
										
| 34 | 郭玉林, 张立果, 郑重, 等. 戴瑞奶绵羊血清中生殖激素含量与超排效果相关性研究[J]. 中国农学通报, 2022, 38 (35): 90- 96. | 
| GUO Y L , ZHANG L G , ZHENG Z , et al. Correlation Study between Reproductive Hormone Levels in Serum of Dairy Sheep (Dairy) and Superovulation Effect[J]. Chinese Agricultural Science Bulletin, 2022, 38 (35): 90- 96. | |
| 35 |  
											  VINSON G P .  The mislabelling of deoxycorticosterone: making sense of corticosteroid structure and function[J]. J Endocrinol, 2011, 211 (1): 3- 16. 
																							 doi: 10.1530/JOE-11-0178  | 
										
| 36 |  
											  THOMAS W ,  HARVEY B J .  Mechanisms underlying rapid aldosterone effects in the kidney[J]. Annu Rev Physiol, 2011, 73 (1): 335- 357. 
																							 doi: 10.1146/annurev-physiol-012110-142222  | 
										
| 37 | GHAFFAR A , SINGH T . Hypokalemia due to ectopic adrenocorticotropic hormone[J]. WMJ, 2024, 123 (2): 135- 137. | 
| 38 | 戴遥, 薛丽萍, 章诗琪, 等. CYP17A1基因突变致先天性肾上腺皮质增生症一例报道并文献复习[J]. 中国全科医学, 2025, 28 (6): 771- 776. | 
| DAI Y , XUE L P , ZHANG S Q , et al. A case report of congenital adrenal hyperplasia caused by CYP17A1 gene mutation and literature review[J]. Chinese General Practice, 2025, 28 (6): 771- 776. | |
| 39 |  
											  GUO X ,  ZHANG Y ,  YU Y , et al.  Getting pregnant with congenital adrenal hyperplasia: assisted reproduction and pregnancy complications. A systematic review and meta-analysis[J]. Front Endocrinol, 2022, 13, 982953. 
																							 doi: 10.3389/fendo.2022.982953  | 
										
| 40 |  
											  TALBOTT H A ,  PLEWES M R ,  KRAUSE C , et al.  Formation and characterization of lipid droplets of the bovine corpus luteum[J]. Sci Rep, 2020, 10 (1): 11287. 
																							 doi: 10.1038/s41598-020-68091-2  | 
										
| 41 | 潘萍, 李予. 不孕症合并肾上腺疾病的诊治[J]. 中国实用妇科与产科杂志, 2024, 40 (6): 614- 618. | 
| PAN P , LI Y . Diagnosis and treatment of infertility complicated with adrenal diseases[J]. Chinese Journal of Practical Gynecology and Obstetrics, 2024, 40 (6): 614- 618. | 
| [1] | XIONG Keng, FAN Haojie, WANG Jie, ZHAO Shanjiang, ZHU Qingli, HU Zhihui, LUO Haoshu, ZHU Huabin. Recent Advances and Applications of Recombinant Follicle-Stimulating Hormone in Bovine Superovulation [J]. Acta Veterinaria et Zootechnica Sinica, 2025, 56(5): 2047-2055. | 
| [2] | Ting WANG, Yuanqing ZHANG, Yibo YAN, Mingjun SHANGGUAN, Hongyu GUO, Zhiwu WANG. The Genetic Structure Analysis and the Comparative Analysis of Selection Signals in 'Tezanghan' Sheep [J]. Acta Veterinaria et Zootechnica Sinica, 2024, 55(7): 2913-2926. | 
| [3] | QI Junying, PEI Quanbang, ZHANG Wenkui, XU Teng, ZUO Mingxing, HAN Buying, LI Xue, LIU Dehui, WANG Song, ZHOU Baicheng, ZHAO Kai, TIAN Dehong. Genome-wide Selective Signal Identification and Association Analysis of Candidate Genes for Tibetan Sheep Wool Traits [J]. Acta Veterinaria et Zootechnica Sinica, 2024, 55(12): 5511-5526. | 
| [4] | Wanxin WANG, Zijin YUAN, Gongquan ZHU, Yuqing WANG, Ying XUE, Jing GE, Minmeng ZHAO, Long LIU, Daoqing GONG, Tuoyu GENG. ACSBG2 Gene Mediates the Response of Goose Liver to Nutritional Changes through Steroid Hormone Synthesis and Cell Adhesion-related Pathways [J]. Acta Veterinaria et Zootechnica Sinica, 2024, 55(11): 5018-5034. | 
| [5] | HE Mingyang, MA Yujing, WANG Yong, YANG Ruochen, LIU Yueqin, ZHANG Yingjie, DUAN Chunhui. Effects of Melatonin on Proliferation, Apoptosis of Ovarian Granulosa Cells, and Its Secretion of Steroid Hormones of Sheep [J]. Acta Veterinaria et Zootechnica Sinica, 2023, 54(8): 3313-3324. | 
| [6] | MA Youji, CHEN Pengfei, MA Qing, WU Yi. Effects of Different Exercise Amounts on Rumen Microflora Diversity of Tan Sheep [J]. Acta Veterinaria et Zootechnica Sinica, 2023, 54(8): 3393-3405. | 
| [7] | LI Ling, LI Yefang, LIANG Benmeng, SUN Yujiang, MA Yuehui, MA Qing, JIANG Lin, LIU Shuqin. Paternity Identification of Tan Sheep Based on SNP Markers [J]. Acta Veterinaria et Zootechnica Sinica, 2022, 53(9): 2912-2919. | 
| [8] | ZHOU Shiwei, WU Tingjie, WANG Qian, CAI Bei, HAN Saizheng, WU Yanhu, WANG Xiaolong, CHEN Yulin. Establishment of the Efficient Method to Detect the FecB Mutation and the Construction of the Prolific Tan Sheep Population [J]. Acta Veterinaria et Zootechnica Sinica, 2022, 53(9): 2920-2929. | 
| [9] | ZHOU Li, GAO Zhanhong, HOU Shengzhen, YANG Baochun, WANG Zhiyou, GUI Linsheng. Difference Analysis of Meat Quality and Muscle Fiber Characteristics between Newborn and Adult Black Tibetan Sheep [J]. Acta Veterinaria et Zootechnica Sinica, 2022, 53(3): 700-710. | 
| [10] | WANG Lei, HE Lina, TANG Xue, LI Bijun, HUANG Siyi, WANG Yukun, XU Dejun, ZHAO Zhongquan. Effects of miR-495-3p on Ovarian Granulosa Cell Functions in Goat [J]. Acta Veterinaria et Zootechnica Sinica, 2022, 53(2): 436-446. | 
| [11] | CHU Jinyu, LI Shaomei, YANG Ge, MOU Chunyan. Mining Key Genes of Arrector Pili Muscle Development in Tibetan Sheep Based on Transcriptome Data [J]. Acta Veterinaria et Zootechnica Sinica, 2021, 52(8): 2171-2180. | 
| [12] | LI Shujing, FENG Chuntao, HU Zhihui, ZHU Huabin, YU Wenli, ZHAO Shanjiang. The Effect of Peripheral Blood AMH Concentration on Superovulation and Embryo Production Performance of Holstein Young Dairy Cattle [J]. Acta Veterinaria et Zootechnica Sinica, 2021, 52(6): 1594-1602. | 
| [13] | ZHAO Shanjiang, SUI Heming, HAO Haisheng, HU Zhihui, PANG Yunwei, ZOU Huiying, DU Weihua, ZHAO Xueming, ZHU Huabin. A Study on the Factors Influencing the Superovulation and Embryo Production in Australian Wagyu Beef [J]. Acta Veterinaria et Zootechnica Sinica, 2021, 52(2): 420-428. | 
| [14] | ZHANG Chunmei, JIA Jianlei, XIE Wen, REN Hao, ZHANG Huaixia, ZHANG Yingying, CHEN Qian. Construction of Tibetan Sheep HSP27 Gene Overexpression and Silencing Vectors and Preliminary Analysis of Its Function on Follicular Development [J]. Acta Veterinaria et Zootechnica Sinica, 2021, 52(12): 3413-3425. | 
| [15] | LIUFU Sui, PAN Jianqiu, JIANG Danli, SHEN Xu, XU Danning, TIAN Yunbo, HUANG Yunmao. Effects of OPN5 on Apoptosis, Proliferation and Steroid Hormone Synthesis of Duck Granulosa Cells [J]. Acta Veterinaria et Zootechnica Sinica, 2021, 52(12): 3480-3491. | 
| Viewed | ||||||
| 
										Full text | 
									
										 | 
								|||||
| 
										Abstract | 
									
										 | 
								|||||